STDE (Stochastic Taylor Derivative Estimator) -The winning NeurIPS 2024 Paper from Singapore
As I said last year, we will try to tackle and impement more AI/ML paper in 2025 to better understand the theory and inner workings of artificial intelligence. And at the same time, to prepare myself for Master/PHD program and becomes a full fledged researcher. We’ve done PIDAO, we also has done Transformer, and this time, we will tackle STDE (don’t forget the E).
Interesting facts about this paper, is that it is the winner for NeurIPS 2024 best paper, and it comes from Singapore. But enough about the intro, let’s dive in
Let’s understand the abstact
So as with any paper, to start understanding it, we should read and undestand the abstract first. So here it is,
Abstract
Optimizing neural networks with loss that contain high-dimensional and high-order differential operators is expensive to evaluate with back-propagation due to scaling of the derivative tensor size and the scaling in the computation graph, where is the dimension of the domain, is the number of operations in the forward computation graph, and is the derivative order. In previous works, the polynomial scaling in was addressed by amortizing the computation over the optimization process via randomization. Separately, the exponential scaling in for univariate functions ) was addressed with high-order auto-differentiation (AD). In this work, we show how to efficiently perform arbitrary contraction of the derivative tensor of arbitrary order for multivariate functions, by properly constructing the input tangents to univariate high-order AD, which can be used to efficiently randomize any differential operator. When applied to Physics-Informed Neural Networks (PINNs), our method provides speed-up and memory reduction over randomization with first-order AD, and we can now solve 1-million-dimensional PDEs in 8 minutes on a single NVIDIA A100 GPU. This work opens the possibility of using high-order differential operators in large-scale problems.
So we can summarize further this abstract by listing 3 key-takeaways. What is the issues, what they’re doing and what is the benefit.
What is the issue?
So the issue here is that, they’re saying backpropagation with loss function that contain high dimensional and high-order DE is expensive because of the size of the dimensions, the order of differential equation, and the computational steps taken . Increasing any of these properties will lead to higher computational requirements resulting in higher cost.
They are previous solutions to this. For higher dimensions, they use randomization techniques to spread out the computational requirements. For higher order DE, they use automatic differentiation technques (AD) to compute the derivatis more efficiently. Howver, both of these solution were separate solutions to separate problems. They did not generalize well with each other and sometimes cannot be used in multivariable situations.
What they’re doing?
There’s a lot of buzzwords in here, we can carefully extract there main techniques that they use.
Arbitrary contractions
Leverages univariate high order AD by carefully contructing input tangents
Allows efficient randomization through differential operators
We will cover all of these techniques in details. But basically what they’re doing is (1) reducing tensor size, (2) simplify the mathematical equation and (3) randomized only selected calculations. Sounds more simple right? Ok, but how they’re doing is what we will cover in the next part
What is the benefit?
This part is easy to understand. They spell it out clearly in the abstract.
When applied to Physics-Informed Neural Networks (PINNs), our method provides speed-up and memory reduction over randomization with first-order AD, and we can now solve 1-million-dimensional PDEs in 8 minutes on a single NVIDIA A100 GPU.
Alright, next we will deep dive into their paper and learn more on how they achieve this
Understanding the issues in more details
We need to understand why these issues are critical to address. For readers familiar with neural networks, you may already know about the backpropagation algorithm. If not, you can refer to my article here (it’s in Malay: link).
Backpropagation is the algorithm that allows AI to learn. A key component of this process is the computation of gradients, which can be interpreted as solving a derivative equation (specifically, an ordinary differential equation (ODE)). This is represented as:
During neural network training (whether for simple deep neural networks or Transformers), a significant number of gradient computations are performed. These calculations operate on tensors, which are high-dimensional matrices. For models with large input dimensions, such as GPT-3 (12,288 dimensions in its hidden layers), the computational power required to perform these operations becomes immense. Something like this,
Can you imagine doing this calculations on a tensor with 12,288 elements of it? And this doesn’t include input.Moreover, these computations aren’t limited to just gradients; optimization algorithms like Adam and SGD introduce additional gradient and momentum calculations, further increasing computational demand.
This is why training large language models (LLMs) is such an expensive venture. Any efforts to optimize this process, like the contributions of the STDE paper, are highly valuable and significant for the AI community.
Another questions that keeps me scratching my head is why they’re testing this on PINN? And not on transformer or any other deep learning architecture. From the abstract, we can see that they’re not only focusing on the curse of dimensionality (high-dimensional ODEs/PDEs) they are also focusing on high-order differential equations. Gradient that comes from backpropagation only deals with first-order differential equations. There may be 2nd order DEs, but it only applies to the optimizer.
However, PINN (stands for physics informed neural network) works by incorporating PDEs/ODEs of pyhsical sciences into the neural network. They deals with multiple types of differential equations including those with higher order. Therefore PINN is very suitable to test this STDE method that they proposed.
Discussion
1. Automatic Differentiation (AD)
Before we move on, let’s understand about few of the concepts in the paper. The first one is AD (automatic differentiation) is one of the ways computer perform calculations on differential equations. It is the mostly used in machine learning/deep learning. What AD did was splitting the complex equations into smaller elements. For example:
This makes the computation more efficient.
There are two modes of AD, the forward mode and the reverse mode. And as the name suggest, you can guess what is the meaning.
Forward Mode means that it computes it from left to right. Giving input and providing output. Reverse mode means that it computes from right to left. Giving output and try to find the input.
There’s a repository/ tutorial online on this AD. They keep the explaination clearly for people who are not familiar with this mathematical terms. You can find it on Kaparthy Micrograd tutorial (
)
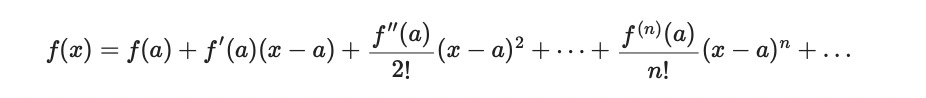
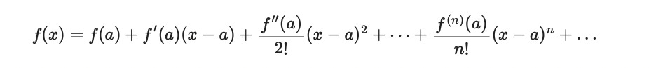
2.Taylor Expansion
The next part that we need to understand is the Taylor Expansion. Taylor Expansion is a mathematical tool used to approximate functions. Given a function (f(x)) around a point (a) , it provided a polynomial (multiple order) representation of a function. It is done by expressing them as a series of terms based on their derivatives at a specific point.
We can write the equation for a function at a point as below:
As you can see, for each of the (‘), the order of the derivatives will increase. And it increases for each terms. This is done when the value of x-a is still far(postiive), and will lead to more higher order of DEs.
The idea in the paper: Combining AD with Taylor Expansion
The basic idea in the paper is combining the process of AD with taylor expansion. It is done by using AD in calculating the derivatives for one input. The we will approximate the functions of that input across the other inputs (x).
This is faster since that we don’t have to recalculate the derivatives for each input. We can reuse the same derivatives of a for input x. Just approximating it using Taylor expansion is enough.
But enough discussion, let’s look at this through python .Let’s test the hypothesis. Let’s assume we have a simple equation, f(x) = e^x, that we want to evaluate . This equation is evaluated across multiple inputs, as below:
We can test our hypothesis as below, where we make two functions, one with AD the AD is using Taylor Expansion on top of AD. We will record times taken for both function and evaluate the difference. Let’s run the code below:
#load both the pytorch (for tensor handling) and time library (to record time for each function)
import torch
import time
# let's define the function
def f(x):
return torch.exp(x) #fx = e^x
# create functions to evaluate using AD
def compute_with_typical_ad(inputs):
start_time = time.time()
for x in inputs:
x = x.requires_grad_()
y = f(x)
y.backward()
end_time = time.time()
return end_time - start_time
# AD + Taylor: Compute derivatives once and reuse
def compute_with_taylor_expansion(inputs, expansion_point):
start_time = time.time()
# Compute derivatives at the expansion point
a = torch.tensor([expansion_point], requires_grad=True)
y = f(a)
y.backward()
f_prime = a.grad # First derivative
# Use Taylor expansion to approximate for other inputs
for x in inputs:
_ = y.item() + f_prime.item() * (x - expansion_point)
end_time = time.time()
return end_time - start_time
# lett's perform testing the input below
inputs = torch.tensor([1.1, 1.2, 1.3, 1.4, 1.5], dtype=torch.float32)
expansion_point = 1.0 #the value nearest to a
# Measure time for both methods
time_typical = compute_with_typical_ad(inputs)
time_taylor = compute_with_taylor_expansion(inputs, expansion_point)
print(f"Time for typical AD: {time_typical:.6f} seconds")
print(f"Time for AD with Taylor expansion: {time_taylor:.6f} seconds")
print(f"AD with taylor expansion is {time_typical/time_taylor:.0f} times faster than typical AD")Which shows the results:
As you can see above, the AD with taylor expansion always faster than typical AD. So the hypothesis is right. And it comes as no surprise since it has been implemented previously with JAX. However, these paper propose something novel. A method that will make this combination far more efficient that it already has.
The Novel Ideas inside the paper
So, what’s the novel indeas inside the paper. The method that they recommend above still has it’s limitation with multivariate differential equations. What we’re showing is only for univariate conditions. For multivariate, the numbers of derivatives will increase leading to the numbers of derivative functions and it’s value that needs to be remembered during computation.
This derivative functions and it’s value that is generated by AD will be kept in a tensor called jets (i don’t know why they called it that, but that’s what it’s called.) This jets will be then pushed forward (owh now it makes sense why it called as jets) during the taylor mode AD computation.
However, if there is multiple variables, the derivatives will increase, leading to longer computation of Taylor mode AD. This will be made worse when the derivatives is non-diagonal (meanings there’s interaction between the variables).
This paper solves it by adding sparse jets. Means that they randomly selected which jets to push forward based on sampling data. This will make the calculation more efficient.
How they are doing this?
Alright, now we have probably grasp nearly all of the major components required to understand and implement this paper. Now we just have to write this down into a single coherent equation and implement it in a python class.
They propose STDE (stochastic taylor derivative estimate) where it approximates the action of differential operator using a sparse, randomized jets.
The general form of differential operators are denoted with below equation, where they replace the x and (x-a) of Taylor expansion into coefficients. The details of the equations are shown below:
To put it simply, they replace the x, and x-a with coefficients, These coefficients determine the contributions of the derivatives, and random jets are used to select the derivatives (multi-indices) to push forward for computation.
Let’s Implement This
We basically have dive very deeply into this paper. Now is the time to implement this. Something that I have to declare first, is that we will do this implementation using pytorch, which is different from the implementation done in the paper. In the paper they’re using JAX which is a popular framework/libraries primary uses by researchers.
JAX already has a built-in Taylor-mode AD. What they did was they stored derivative inside what they called as jets. These jets can be send forward and reverse depending on the AD mode. What these paper implements is, by sampling these jets, can ensure that random sparse jets be send forward instead of all the jets. The problem is JAX is quite hard to understand and not particularly easy to the beginners and hard to deploy.
Pytorch on the other hand does not have jets. It also doesn’t support forward mode AD. So this is the limitations that we have to keep in mind when we implement this in pytorch.
Keeping that in mind, what do we have to build?
First, we must have the variables to store both the derivatives and the coefficient. Both of these must be in tensor form and comes with multi-incides to allow us to expand it to higher dimensions.
Next, we must find ways to sample this coefficients using it’s probability value and the impact it has to the derivatives.
We also need to implement this jets feature that JAX has inside of pytorch. We can use pytorch autograd, to send forward this partial derivatives but they might comes with some issues.
We also need to find ways to sample the dimensions that we handle. So we might reduce the computation overhead.
So, let’s start building this, let’s build this in a class, using Python Object-Oriented Programming method (PooP). I’ll be getting help from OpenAI o1 on this, since I’m still a beginner in coding, but if you see something wrong with the code, please highlight it in the comments.
The Constructor
Let’s first set up the constructor as below. We will take the input dimensions, the order of the derivatives early on (so that our dictionary of derivatives will be set earliers), the operator coefficients where we will be setting it up as dictionary. In it, we will put the coefficients and the derivatives in tensor.
o1 recommend a rand_batch_size that will be set at 0 initially, this will determine the number od dimensions to sample for sparse computation. With hope that it will reduce the computation overhead.
It also recommends use_absolute_values to determine whether we use absolute values of the coefficients to define the sampling probabilities. This is convenient if the coefficients can be negative
class STDE:
def __init__(self, input_dim, order, operator_coefficients, rand_batch_size=0):
"""
Initialize the STDE class.
Args:
input_dim (int): Dimensionality of the input space (e.g., 2 for 2D).
order (int): Order of the differential operator (e.g., 2 for Laplacian, 4 for biharmonic).
operator_coefficients (dict): Coefficients for the operator, specified as:
{multi_index (tuple): coefficient (float)}.
rand_batch_size (int): Number of dimensions to sample for sparse computation.
If 0, use all dimensions.
use_abs_for_sampling : ensuring that we only use absolute values for sampling if set
to true
"""
self.input_dim = input_dim
self.order = order
self.coefficients = operator_coefficients
# Optional: validate multi-indices
for idx in self.coefficients.keys():
if len(idx) > self.order:
raise ValueError(f"Multi-index {idx} exceeds order {self.order}")
self.indices = list(self.coefficients.keys())
self.rand_batch_size = rand_batch_size or input_dim
self.use_abs_for_sampling = use_abs_for_sampling
self.probabilities = self._compute_sampling_probabilities()The next part that we need to do is to compute the sampling probabilities for all coefficients values. We implement is as below:
def _compute_sampling_probabilities(self):
"""
Compute sampling probabilities for each multi-index based on coefficients.
Returns:
list: Sampling probabilities for each term in self.indices.
"""
coeff_values = torch.tensor(
[self.coefficients[idx] for idx in self.indices],
dtype=torch.float32
)
if self.use_abs_for_sampling:
# Use absolute values for probabilities to avoid negative or zero-sum
prob_values = coeff_values.abs()
else:
# If you *know* all coefficients are non-negative or can handle sign logic differently
prob_values = coeff_values.clone()
total_sum = prob_values.sum().item()
# If total_sum is 0, all coefficients might be zero or negative.
# Handle carefully (e.g., uniform distribution among all indices or raise error).
if total_sum == 0.0:
raise ValueError("Sum of absolute coefficients is zero. Cannot sample indices.")
return (prob_values / total_sum).tolist()With the sampling probabilities calculated, we can use it to generate random jets as below:
def _generate_random_jets(self, num_samples):
"""
Generate random sparse k-jets for the input dimension and order.
Args:
num_samples (int): Number of jets to generate.
Returns:
list of tuples: List of sampled multi-indices.
"""
sampled_indices = random.choices(self.indices, weights=self.probabilities, k=num_samples)
return sampled_indicesBefore we move on to the main operator, let’s not forget that we also need to set up the sampling dimensions function as below:
def _sample_dimensions(self):
"""
Randomly sample a subset of dimensions for sparse computation.
Returns:
Tensor: Indices of sampled dimensions.
"""
if self.rand_batch_size < self.input_dim:
return torch.randperm(self.input_dim)[:self.rand_batch_size]
return torch.arange(self.input_dim)Now, we move on to the main event, let’s try to define the operators, and how do we want to move all this functions. First, let us define the variables that we need.
The operator values, and the sampled_jets/sampled_dimensions.
def apply_operator(self, func, inputs, num_samples=10):
"""
Apply the differential operator using sparse random jets.
Args:
func (callable): Function u(x, ...) to which the operator is applied.
Should return a tensor (possibly with batch dimensions).
inputs (list of torch.Tensor): List of input tensors, each requires_grad=True.
num_samples (int): Number of random jets to sample.
Returns:
torch.Tensor: Approximated operator value at the given inputs (scalar).
"""
# Start operator_value as a torch Tensor (for device consistency)
operator_value = torch.zeros(1, dtype=inputs[0].dtype, device=inputs[0].device)
# Gather random multi-indices (jets) and dimension subset
sampled_jets = self._generate_random_jets(num_samples)
sampled_dims = self._sample_dimensions()Then below that, we perform operations on the jets, keeping in mind of the sample dimensions. What we did was:
Perform forward pass on the jets that has been sampled
Apply partial derivatives in sequence
Calculate the gradient of the output with respect to the input dimensions
Get the value of the coefficients based on the jet provided
Get the contribution value of the coefficient by multiplying it with the gradient that has been calculated
The contribution value has to account for some correction factor based on the sampled dimensions
The contribution value will be normalized based on the amount of sampled jets. Then it will be returned as operator value
This operator value is the one that will be used in the any PDE operations.
for jet in sampled_jets:
# Perform a forward pass once for this jet
# If your function is expensive, see notes on optimizing repeated calls below.
output = func(*inputs)
# If output has a batch dimension, reduce to scalar now so that
# the derivative is well-defined. (We do this once at the start.)
output = output.mean() # ensures scalar
# We'll apply partial derivatives in sequence
for order_idx, dim_idx in enumerate(jet):
# If dim_idx is not in sampled_dims, skip it
if dim_idx not in sampled_dims:
# For this code path, we do nothing and break from partial derivatives
# because once we skip, we can't keep differentiating something we didn't compute.
break
# Compute the gradient of `output` w.r.t. inputs[dim_idx].
grad = torch.autograd.grad(
outputs=output,
inputs=inputs[dim_idx],
grad_outputs=None, # = ones_like(output) for a scalar, if output is scalar
create_graph=True,
retain_graph=True,
allow_unused=True
)[0]
# If grad is None, dimension not used, or something else. Just treat it as zero.
if grad is None:
grad = torch.zeros_like(inputs[dim_idx])
# If we're not at the last partial derivative, we need
# to set `output` to something that we can differentiate again.
# `grad` might be a non-scalar if inputs[dim_idx] has shape > 1.
# We can reduce it to a scalar to differentiate again.
if order_idx < len(jet) - 1:
output = grad.mean()
else:
# This is the last partial derivative in `jet`, so we add it to the operator.
# The sign of the coefficient is the same as in the dictionary if we're not
# using absolute values for sampling. If using abs for sampling, multiply
# by sign.
coeff = self.coefficients.get(jet, 0.0)
if self.use_abs_for_sampling:
# Use the original sign (coeff could be negative)
# prob was computed with abs, but we still want the correct sign for PDE
# so we do:
# contribution = sign(coeff) * grad.mean()
# or just directly multiply by 'coeff', since we do not lose sign in the dict.
contribution = coeff * grad.mean()
else:
contribution = coeff * grad.mean()
operator_value += contribution
# -- Dimension sampling correction
# We are skipping partial derivatives on unsampled dimensions.
# This factor "scales" the result to approximate what we would get with all dimensions.
# NOTE: This is a heuristic. In some PDEs, it can introduce bias or high variance.
correction_factor = self.input_dim / float(len(sampled_dims))
operator_value *= correction_factor
# Normalize by number of sampled jets
operator_value /= num_samples
return operator_valueSo that’s basically the main operation of our STDE. So the final code for our class will look something like this:
import torch
import random
class STDE:
def __init__(
self,
input_dim,
order,
operator_coefficients,
rand_batch_size=0,
use_abs_for_sampling=True,
):
"""
Initialize the STDE class.
Args:
input_dim (int): Dimensionality of the input space (e.g., 2 for 2D).
order (int): Maximum order of the differential operator (optional usage).
operator_coefficients (dict): Coefficients for the operator, specified as:
{multi_index (tuple of ints): coefficient (float)},
where each multi_index is a sequence of dimension indices.
E.g., (0,0) means d^2/dx^2 for dimension 0 in 2D.
rand_batch_size (int): Number of dimensions to sample for sparse computation.
If 0, use all dimensions.
use_abs_for_sampling (bool): If True, use the absolute value of coefficients
to compute sampling probabilities. This helps
avoid negative or zero probabilities.
"""
self.input_dim = input_dim
self.order = order # You can use this to validate multi-index lengths if desired.
self.coefficients = operator_coefficients
# Validate that multi-indices don't exceed the declared order (optional check)
for idx in self.coefficients.keys():
if len(idx) > self.order:
raise ValueError(f"Multi-index {idx} exceeds the specified order {self.order}")
# Convert your coefficient dict into a list of (multi_index, coeff) so we can sample easily
self.indices = list(self.coefficients.keys()) # Multi-index terms
self.rand_batch_size = rand_batch_size or input_dim # Default to all dimensions if 0
# Compute sampling probabilities (handle negatives / zero sum)
self.use_abs_for_sampling = use_abs_for_sampling
self.probabilities = self._compute_sampling_probabilities()
def _compute_sampling_probabilities(self):
"""
Compute sampling probabilities for each multi-index based on coefficients.
Returns:
list: Sampling probabilities for each term in self.indices.
"""
coeff_values = torch.tensor(
[self.coefficients[idx] for idx in self.indices],
dtype=torch.float32
)
if self.use_abs_for_sampling:
# Use absolute values for probabilities to avoid negative or zero-sum
prob_values = coeff_values.abs()
else:
# If you *know* all coefficients are non-negative or can handle sign logic differently
prob_values = coeff_values.clone()
total_sum = prob_values.sum().item()
# If total_sum is 0, all coefficients might be zero or negative.
# Handle carefully (e.g., uniform distribution among all indices or raise error).
if total_sum == 0.0:
raise ValueError("Sum of absolute coefficients is zero. Cannot sample indices.")
return (prob_values / total_sum).tolist()
def _generate_random_jets(self, num_samples):
"""
Generate random sparse k-jets for the input dimension and order.
Args:
num_samples (int): Number of jets to generate.
Returns:
list of tuples: List of sampled multi-indices.
"""
sampled_indices = random.choices(self.indices, weights=self.probabilities, k=num_samples)
return sampled_indices
def _sample_dimensions(self):
"""
Randomly sample a subset of dimensions for sparse computation.
Returns:
Tensor: Indices of sampled dimensions.
"""
if self.rand_batch_size < self.input_dim:
return torch.randperm(self.input_dim)[:self.rand_batch_size]
return torch.arange(self.input_dim)
def apply_operator(self, func, inputs, num_samples=10):
"""
Apply the differential operator using sparse random jets.
Args:
func (callable): Function u(x, ...) to which the operator is applied.
Should return a tensor (possibly with batch dimensions).
inputs (list of torch.Tensor): List of input tensors, each requires_grad=True.
num_samples (int): Number of random jets to sample.
Returns:
torch.Tensor: Approximated operator value at the given inputs (scalar).
"""
# Start operator_value as a torch Tensor (for device consistency)
operator_value = torch.zeros(1, dtype=inputs[0].dtype, device=inputs[0].device)
# Gather random multi-indices (jets) and dimension subset
sampled_jets = self._generate_random_jets(num_samples)
sampled_dims = self._sample_dimensions()
for jet in sampled_jets:
# Perform a forward pass once for this jet
# If your function is expensive, see notes on optimizing repeated calls below.
output = func(*inputs)
# If output has a batch dimension, reduce to scalar now so that
# the derivative is well-defined. (We do this once at the start.)
output = output.mean() # ensures scalar
# We'll apply partial derivatives in sequence
for order_idx, dim_idx in enumerate(jet):
# If dim_idx is not in sampled_dims, skip it
if dim_idx not in sampled_dims:
# For this code path, we do nothing and break from partial derivatives
# because once we skip, we can't keep differentiating something we didn't compute.
break
# Compute the gradient of `output` w.r.t. inputs[dim_idx].
grad = torch.autograd.grad(
outputs=output,
inputs=inputs[dim_idx],
grad_outputs=None, # = ones_like(output) for a scalar, if output is scalar
create_graph=True,
retain_graph=True,
allow_unused=True
)[0]
# If grad is None, dimension not used, or something else. Just treat it as zero.
if grad is None:
grad = torch.zeros_like(inputs[dim_idx])
# If we're not at the last partial derivative, we need
# to set `output` to something that we can differentiate again.
# `grad` might be a non-scalar if inputs[dim_idx] has shape > 1.
# We can reduce it to a scalar to differentiate again.
if order_idx < len(jet) - 1:
output = grad.mean()
else:
# This is the last partial derivative in `jet`, so we add it to the operator.
# The sign of the coefficient is the same as in the dictionary if we're not
# using absolute values for sampling. If using abs for sampling, multiply
# by sign.
coeff = self.coefficients.get(jet, 0.0)
if self.use_abs_for_sampling:
# Use the original sign (coeff could be negative)
# prob was computed with abs, but we still want the correct sign for PDE
# so we do:
# contribution = sign(coeff) * grad.mean()
# or just directly multiply by 'coeff', since we do not lose sign in the dict.
contribution = coeff * grad.mean()
else:
contribution = coeff * grad.mean()
operator_value += contribution
# -- Dimension sampling correction
# We are skipping partial derivatives on unsampled dimensions.
# This factor "scales" the result to approximate what we would get with all dimensions.
# NOTE: This is a heuristic. In some PDEs, it can introduce bias or high variance.
correction_factor = self.input_dim / float(len(sampled_dims))
operator_value *= correction_factor
# Normalize by number of sampled jets
operator_value /= num_samples
return operator_valueThat’s a very looooong code. But with this, we have managed to implement the STDE in pytorch. But, we need to first test this, whether it’s working or not. We have to test on two fronts. Since we’re only estimating the derivative using taylor expansion, and we only randomly selected which derivatives to use (based on probabilities), then by using STDE, we might not get an accurate results compare to traditional methods. So, let’s test that part first.
Let’s use STDE to test the derivatives of f(x) = x².
import torch
import random
def test_stde_1d(STDE_class):
"""
Test the STDE class on a simple 1D function f(x) = x^2,
whose second derivative is 2 everywhere.
Args:
STDE_class: The STDE class to be tested.
"""
# ----- Reproducibility -----
torch.manual_seed(0)
random.seed(0)
# ----- Define the test function f(x) -----
# f(x) = x^2
def f(x):
return x**2
# ----- Define operator coefficients for the 1D second derivative -----
# In your format, (0, 0) means "take second derivative wrt dimension 0"
operator_coeffs = {
(0, 0): 1.0 # coefficient = 1 for second derivative
}
# Create an STDE instance
stde = STDE_class(
input_dim=1, # only one dimension
order=2, # up to second derivative
operator_coefficients=operator_coeffs,
rand_batch_size=0, # use all dimensions (just 1 anyway)
use_abs_for_sampling=True
)
# ----- Define input x -----
x = torch.tensor([3.0], requires_grad=True) # choose any value, e.g. 3.0
# ----- Apply the operator -----
# Increase num_samples for better accuracy if needed
approx_value = stde.apply_operator(f, [x], num_samples=1000)
# ----- Print results -----
print("Approximate second derivative of x^2 at x=3.0:", approx_value.item())
print("Exact second derivative is 2.0")
print("Error:", abs(approx_value.item() - 2.0))This resulted the output as below:
Ok, so we got an accurate results. Next, we have to perform test on whether using STDE is more faster than using autograd. For this one, I won’t show you the code, it’s a long one, but I will put it up in my GitHub repo. Basically, we did not achieve our objectives for this one. Since the limitations that exist on pytorch, we cannot replicate the success of STDE on JAX, as you can see below:
Apparently using STDE has only increase the training time for our PINN. Although we get the same results as traditional autograd method, but due to the computational overhead posed by Pytorch, we aren’t able to sped up the training.
But it doesn’t matter. Basically we have understood what the paper is really about, and what novel method that they’re proposing. This has greatly increased our understanding on AD process and autograd engine.
You may check out my repo on Github below:
GitHub - maercaestro/megat-stde
Contribute to maercaestro/megat-stde development by creating an account on GitHub.github.com
What have we learn?
I’ve learn a lot doing the implementation. Although it wasn’t successful in meeting the paper objectives (using pytorch), but I’ve managed to implement it part by part while understanding the intricacies of the subject.
Let’s move on next to bigger and more papers to be implemented. One step at a time.













